龙行概况
龙行简介
龙行特色
历年合影
学校环境
教学环境
生活环境
住宿环境
师资教学
教学部
招生部
行政部
招生简章
招生简章
班级设置
在线报名
入学流程
优秀作品
素描作品
色彩作品
速写作品
设计作品
教学视频
素描视频
速写视频
色彩视频
画室视频
历年成绩
龙行头条
龙行资讯
艺考资讯
联系我们
联系我们
全国分校
龙行头条
LONGXING NEWS
重庆龙行画室首页
>
艺考资讯
龙行资讯
艺考资讯
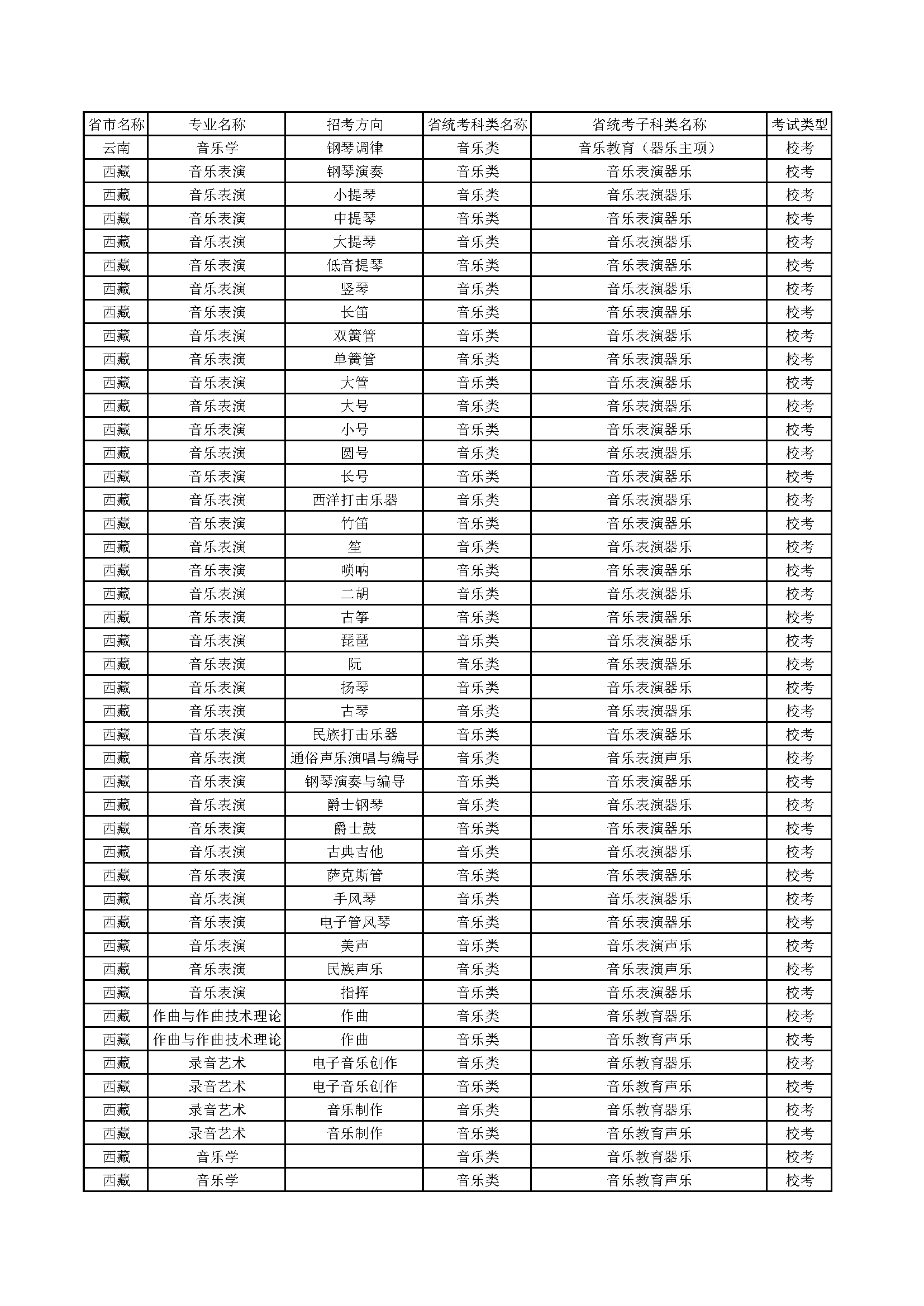
武汉音乐学院2026年普通本科校考招生要求
2025.10.07 浏览量:165
武汉音乐学院2026年普通本科校考招生要求
< 上一篇: 中国科学报社招收美术学类研究生
下一篇: 新疆艺术学院2026年艺术类校考专业与各省统考子科类对照 >
推荐资讯
天津美术学院2026年校考招生专业名单
四川美术学院2025年本科招生复试资格线及初试成绩查询公告
母亲节,你有帮妈妈画幅画吗?
素描考试要怎么拿高分?你需要注意这几点
一篇关于色彩所要运用的颜料知识,不懂的可真要好好看重庆美术培训学校讲的!
2021年四川美术学院校考模式及高分卷赏析
重庆美术集训画室美术生考前冲刺阶段该如何准备,你都知道吗?
重庆美术培训学校有多少家?哪家更适合考学?
在线咨询
QQ咨询
微信客服
微信公众号
在线
报名