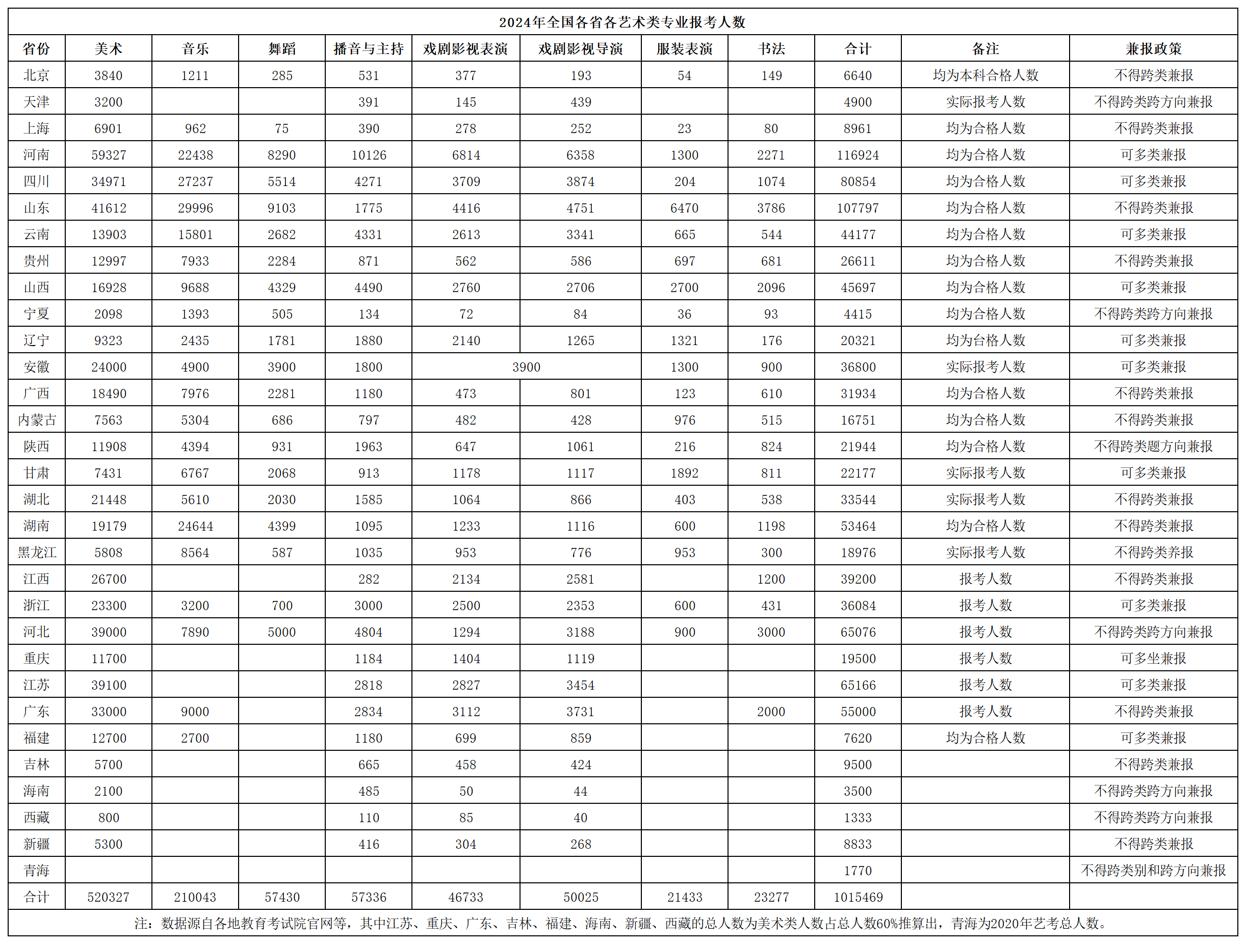
全国艺考生规模真的大幅度减少了吗?我们来看看实际的统计数据,2020年官方公布的全国艺考生总规模为117万人,这是艺考生报名人数的一个顶峰,由于后续疫情以及艺考改革的影响,网络舆论都在说艺考生规模大幅减少?真的如此吗?我们来看看2024年的统计数据,该年度艺考生规模约为101.55万人(其中很多统计数据以一分一段表合格人数为基准进行统计,事实报名人数要比合格人数要多),从这个数据上来看似乎减少了近15万人,真的减少了这么多?熟悉艺考的人都清楚,2024年艺考改革将广播电视编导专业从艺考招生范畴剔除,而往年全国广播电视编导专业的报考人数曾经达到15万人之众,即使有所缩减,2024年的艺考生规模如果加上广播电视编导专业的规模其实大体上是相当的,从这个层面来看,全国艺考生规模其实是基本相当的,并没有显著减少。当然,不同的艺考生类型之间有变化,譬如美术生规模的确出现了比较明显的减少现象,这个毋容置疑。












