龙行概况
龙行简介
龙行特色
历年合影
学校环境
教学环境
生活环境
住宿环境
师资教学
教学部
招生部
行政部
招生简章
招生简章
班级设置
在线报名
入学流程
优秀作品
素描作品
色彩作品
速写作品
设计作品
教学视频
素描视频
速写视频
色彩视频
画室视频
历年成绩
龙行头条
龙行资讯
艺考资讯
联系我们
联系我们
全国分校
龙行头条
LONGXING NEWS
重庆龙行画室首页
>
艺考资讯
龙行资讯
艺考资讯
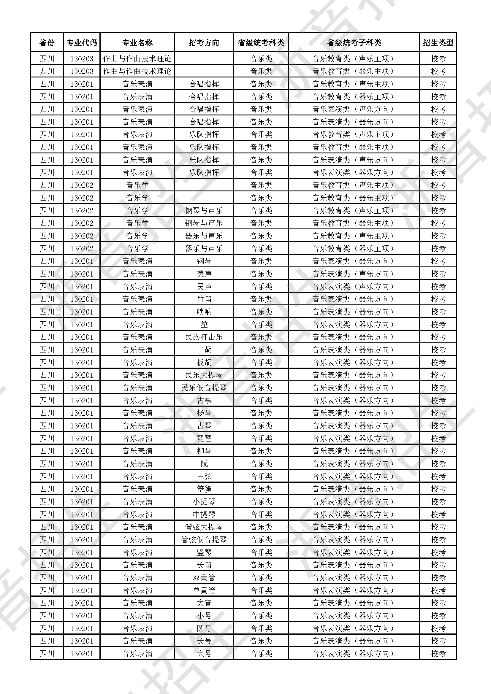
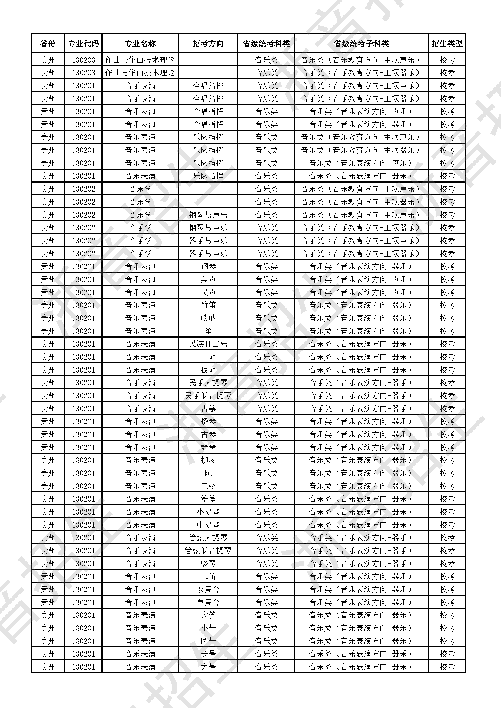
浙江音乐学院2026年本科艺术类招生专业与各省统考子科类对照表
2025.10.09 浏览量:488
浙江音乐学院2026年本科艺术类招生专业与各省统考子科类对照表
< 上一篇: 北京服装学院 2026 年艺术类本科专业省级统考科类对照表
下一篇: 哈尔滨音乐学院2026年本科校考专业要求 >
推荐资讯
素描静物中画面“灰”该怎么处理?重庆画室分享这几个处理小技巧!
重庆画室带你了解2022国美附中作品,让你快速提升自己!
重庆美术培训寒假班毕业啦 ‖ 你的努力终不负自己!
校考备考,刻不容缓!来重庆美术培训班提升拿证率!
想让画面更高级,重庆美术集训美术生要懂得掌握「速写」的生动性!
重庆美术培训学校怎么选?美考生择校必考精华帖!
病毒我不怕,我怕哪天想起你
美术校考:即将开启的画室集训,美术生准备好了吗?
在线咨询
QQ咨询
微信客服
微信公众号
在线
报名